Foreign Policy posted an article on their website today by Pentagon correspondent Lara Seligman. It is titled “The Navy Wanted a New Cyber Official, but a Housing Scandal Got in the Way”
It starts with the statement of “Military families complain of appalling living conditions“, which is a true statement. The article goes on to state,
“The U.S. Navy had been considering dissolving the position of an assistant secretary who oversaw housing for military families and creating a new job in its place that would focus on increasingly important cybersecurity issues. But when some of those families complained at a showdown hearing in Congress last month about appalling living conditions—including mold, rat infestations, and lead paint—the Navy was forced to backtrack.
The reversal underscored how sensitive the military can be to public protests by its service members, especially when they’re aired in front of lawmakers…. Several military families shared their stories before the Senate Armed Services Committee on Feb. 13, including Janna Driver, the wife of a U.S. Air Force service member and mother of five children. She told lawmakers she and her family had a series of illnesses before discovering an extensive mold problem in a utility room.
‘We will likely suffer from the effects of this for the rest of our lives, physically, financially, emotionally, and mentally,’ Driver said. Since then, all three service secretaries, as well as acting Secretary of Defense Patrick Shanahan, have faced questions from lawmakers about the allegations.
Officials traced the problem back to a 1996 military housing privatization effort that allowed contractors to take over management of some residences from the military.”
Screech! Halt! Stop the presses! The problem did not begin in 1996 by the outsourcing of oversight of military housing to the private sector. It began in 2001 with the federal government, particularly the CDC, outsourcing the oversight of the environmental illnesses caused by moldy building to conflicted “nonprofit” medical associations, think-tanks, and the lobbyists at the U.S. Chamber of Commerce.
Tobacco scientists (who also serve as expert defense witnesses in mold litigations) were brought into the issue in late 2001, to write public health policies. These erred policies are purposed to enable the military housing landlords, their insurers, and all others with a financial stake in the buildings, to avoid liability for negligent acts causing the mold to grow and the resultant disabilities to occur.
The Foreign Policy article goes on to state, “Sen. Jack Reed, the ranking Democrat on the Senate Armed Services Committee, blamed the conditions on a ‘lack of accountability by the Department of Defense.”
A BUNCH OF POTS CALLING A KETTLE “BLACK”
It is long past time for the good senators of the United States to stop pretending they do not know how the mold issue was enabled by them and others to get so out of control.
They know that what is being allowed to disable our military families is also happening to our college students being disabled by moldy dorms, poor people living in moldy HUDD housing, workers injured in moldy work environments, children and teachers being disabled by moldy schools, and even judges being disabled by moldy courthouses.
I added two comments to the FP article. Below is the TRUE STORY of what many of the senators have known for a long time, but have not lifted a finger to make it stop. I am not exaggerating or kidding one iota when I say it is CRIMINAL.
Mrs. Kramer
Comment Part I.
This is a bad joke: “Sen. Jack Reed, the ranking Democrat on the Senate Armed Services Committee, blamed the conditions of a ‘lack of accountability by the Department of Defense” That is an incorrect accusation on Sen. Reed’s part.
_______________________________________________________________________________________________________________________________
The intentional lack of accountability has been occurring on the Hill for well over a decade. In 2006, the late Senator Edward Kennedy was the minority chair of the Senate Health, Education, Labor, and Pension Committee (HELP). He ordered a federal GAO audit of the health effects of molds and mycotoxins and how the federal gov’t addresses complaints for them, at my instant urging.
_______________________________________________________________________________________________________________________________
In Feb of 2007, the following was deleted from the scope of the audit, “What medical and scientific standards are used in determining the admissibility of evidence of both acute and persistent health consequences resulting from exposure to mold? Which individuals and organizations have promulgated these standards and what, if any, conflicts of interest exist regarding these standards?”
_______________________________________________________________________________________________________________________________
At the time, they knew that expert defense witnesses in mold litigation (toxicologists at Veritox, Inc. headquartered in Redmond, WA and a dishonest immunologist from UCLA, Dr. Andrew Saxon) were setting the standards via getting naysaying junk science mass marketed into policies and physician educational materials via U.S. “nonprofit” medical associations and the U.S. Chamber of Commerce.
_______________________________________________________________________________________________________________________________
At the time that they gutted the audit scope, Veritox president Bruce Kelman was serving as an expert defense witness for the USDOJ in a moldy military housing case. He claimed that the disabling symptoms reported by the family could not be caused by the moldy military housing, based on his bogus toxicological risk assessment model, the “Veritox Theory“. One may view Mr. Kelman’s 2006 “expert” opinion in the military housing mold case, here. Mitchell et.al. vs. the United States.
_______________________________________________________________________________________________________________________________
One month BEFORE Dem Senate HELP gutted the audit scope and any chance of anyone being held accountable for harming our troops’ families (and thousands of others) with a bogus litigation defense argument; on January 10, 2007 the Wall Street Journal ran a front page article about the scam, Veritox, Saxon, “nonprofit” medical associations, and the US Chamber of Commerce’s unclean hands in the matter.
_______________________________________________________________________________________________________________________________
One may read the article here: “Court of Opinion, Amid Suits Over Mold Experts Wear Two Hats. Authors of Science Papers Also Help the Defense in Mold Litigation” ___________________________________________________________________________________________________________________________________________________
This is a seventeen year long, gov’t backed scam based on junk science penned by expert defense witnesses in mold litigations. The U.S. Senate is not going to help the military families be able to obtain proper medical care or restitution when injured from the moldy military housing; without fessing up to their roles in causing this debacle to continue. That they would only “act” now while the media spotlight is again shining, is additionally disturbing.
_______________________________________________________________________________________________________________________________
The DOD certainly has not had clean hands in the matter. But the senators grandstanding for the media and attempting to put the blame entirely on the DOD is nothing more than a public display of a bunch of pots calling a kettle black.
Mrs. Kramer
Comment Part II
I spent three days in DC last week trying to get them to fess up, stop feigning ignorance, and move to correct the underlying problem which enables the PPV landlords to get away with what they have been doing to our troops’ families. [The legislative assistants of my own senator, Dianne Feinstein — aka wife of long time University of California Regent Richard Blum — refused to meet with me].
_______________________________________________________________________________________________________________________________
The matter is even worse than what is described above. There is a fourteen year long, concealed criminal cover up of the debacle occurring in the State of California.
_______________________________________________________________________________________________________________________________
I have a degree in marketing. In 2005, I was the first person to publicly connect the dots of how the junk science became policy for the purpose of lending undue credibility to a litigation defense argument. In short, it is a multi-billion dollar, gov’t backed, insurer fraud scam.
_______________________________________________________________________________________________________________________________
For fourteen years, judges and justices in San Diego, California have been framing me for libel on Veritox’s behalf. I have a mountain of falsified court documents and direct evidence of judicially suppressed evidence of Bruce Kelman’s perjury while strategically litigating to shut me up.
_______________________________________________________________________________________________________________________________
I was sent to jail by order of a San Diego judge in 2012 for refusing to lie under oath of how this scam continues by the criminal case fixing on Veritox’s and their clients’ behalves. (They wanted me to sign a document which includes the sentence “I do not believe Dr. Kelman committed perjury”).
_______________________________________________________________________________________________________________________________
Below is my recent request to the 48 U.S. Senators of the Arms and HELP committees to stop pretending that they don’t know where the root of the problem lays. There are many links in the below link which prove every single word I have written above. This includes videos of Mr. Kelman committing material perjury while strategically litigating; and the Chief Justice and Attorney General of California cracking jokes about “harmless error” while I am explaining how the San Diego case fixing enables the greater scam to continue, nationwide). “3.11.19 Request for US Senate Intervention to Stop Fraud & Retaliation in the Mold Issue“………………………………………………………… ________________________________________________________________________________________________________________________________
It is beyond disgusting that this continues in the USA while our nation’s leaders down BOTH sides of the isle pretend they do not know how or why; and instead point the finger away from themselves as the problems they enable, rage on.
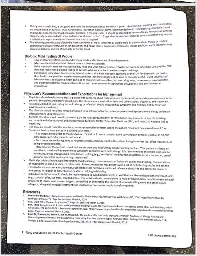
And if all of the above were not bad enough. Even with Reuters shining a spotlight on the issue for the past six months with their series “Ambushed at Home“; and the good senators spending a boat load of tax dollars holding hearings and writing useless new laws; the Navy and Marine Corps Public Health Center had the audacity to send the follow out to the military physicians on March 14, 2019.
The message to the physicians is: ignore the “anecdotal” complaints of the sick military families and do not substantiate their fears that the moldy military housing is disabling their children for life.

Note Reference #4 It is one of the junk science papers exposed in the 2007 WSJ article that promotes the bogus Veritox Theory. And you know what’s even worse??????
Stated co-author Dr. Jay Portnoy of Children’s Mercy Hospital in Kansas City didn’t even co-author it. In February of 2006, he asked the Board of Directors of the American Academy of Allergy, Asthma, and Immunology (AAAAI) for his name to be taken off publication after Andrew Saxon of UCLA rewrote his work.
Dr. Portnoy did not even know that he was listed as co-authoring the AAAAI Mold Statement until I told him.
And ya know what’s even more insidious than that???? Reference #1, the IOM Damp Indoor Spaces and Health Report has been used multiple times to knock the naysaying junk science of Saxon, Veritox, ACOEM, AAAAI, ACMT, University of California, CDC, and the US Chamber out of many mold litigations via exposing it for the fraud that it is when denying liability for causation of disabilities — since 2006!
Enough already!!! It is long past time to sink the fleet of deceit that sails the Veritox Theory across the United States with the University of California flag proudly waving. The four papers which need to be de-published and removed from the face of the planet are:
1. 2002 nonprofit American College of Occupational and Environmental Medicine (ACOEM) “Adverse Human Health Effects Associated with Molds in the Indoor Environment” by Bruce J. Kelman & Bryan Hardin of Veritox, Inc. and Andrew Saxon of UCLA. Published in the Journal of Occupational and Environmental Medicine (JOEM)
2. 2003 nonprofit U.S. Chamber Institute for Legal Reform (ILR) & nonprofit Manhattan Institute Center for Legal Policy (CLP) “A Scientific View of the Health Effects of Mold”. Stated authorship: Bruce J. Kelman, Bryan Hardin, Coreen Robbins of Veritox, Inc. and Andrew Saxon of UCLA.
3. 2006 nonprofit American Academy of Allergy, Asthma and Immunology (AAAAI) [26] “The Medical Effects of Mold Exposure”. Stated authorship: Andrew Saxon of UCLA, Robert Bush of University of Wisconsin, Abba I. Terr of Stanford University, Robert Wood of Johns Hopkins Hospital, and Jay Portnoy of Children’s Mercy Hospital of Kansas City Published in the Journal of Allergy and Clinical Immunology (JACI)
4. 2006 nonprofit American College of Medical Toxicology (ACMT) “Institute of Medicine Report on Damp Indoor Spaces and Health” by Daniel Sudakin of Veritox, Inc. and Thomas Kurt (This paper is a dishonest critique of the 2004 IOM Damp Indoor Spaces & Health Report’s toxicity section. It is a rehash of the above three papers. Drs. Sudakin & Kurt are expert defense witnesses in mold litigations as are other ACMT members. CDC ATSDR funds ACMT to disseminate information for “nonprofit” medical associations)
And speaking of exposing fraud and fraudsters, I would sincerely appreciate it if someone (hint, hint)


would make the Administrative Presiding Justice of the Fourth District Division One Court of Appeal in San Diego, California, Justice Judith McConnell,

Legend (myth?) of the Bar #SheToo can be an enabled and disgusting power abuser
and her minions in the local courts stop framing me for libel for my exposing this massive fraud fourteen years ago. Someone (hint, hint) needs to make Judy McConnell stop concealing & rewarding Mr. Kelman’s perjury; and stop literally TERRORIZING ME on behalf of the USDOJ’s lying expert defense witnesses at Veritox, Inc. — while CRIMINALLY CAUSING the entire scam to continue from coast to coast.
It does not require a genius IQ to understand that one cannot simply apply mathematical extrapolations to data taken from one researcher’s rat study of mold; and prove that the families of those who give their lives for us are lying about being so sick from moldy military housing.
Even Mr. Kelman acknowledges that the basic tenets of toxicology establish that this is true. — But that is EXACTLY what has been occurring in the United States for now seventeen years and counting — based on Mr. Kelman’s and his business partner at Veritox, Inc. (Bryan Hardin, retired deputy direct at CDC NIOSH) bogus risk assessment model over the mold issue — the Veritox Theory.
People are dying. Cut the feigned ignorance of it, Senators, while running our military families (and thousands of others) through the ringer over and over again.
Sharon Kramer
“Woman with Stones“
